Niniejsza dokumentacja opisuje sposób mapowania definicji procesów oraz strukturę aplikacji o tej samej nazwie. Użytkownik dowie się, w jaki sposób definicja procesu może odnosić się do innych aplikacji i jednostek biznesowych oraz w jaki sposób jest zintegrowana z procesami biznesowymi.
O roli definicji działań i sposobie ich rejestrowania można przeczytać w dokumentacji Definicje działań.
Definicje terminów
Definicja działania
Definicja działania jest szablonem dla działań generowanych na jej podstawie. Jeśli definicja działania jest aktywna, silnik workflow generuje nowe działanie, gdy wystąpi zarejestrowane zdarzenie, pod warunkiem spełnienia warunku przejścia. Definicje działań są niezależne od bazy danych OLTP i systemu, w którym zostały zarejestrowane, ponieważ nie zawierają ani danych specyficznych dla systemu, ani danych specyficznych dla OLTP. Definicje działań są zapisywane w bazie danych repozytorium.
Węzeł akcji
Węzeł akcji to krok procesu, który reprezentuje działanie dla jednego lub więcej agentów. Niektóre węzły akcji obsługują określone działania, takie jak podejmowanie decyzji lub wysyłanie wiadomości e-mail. Działania generowane przez węzeł akcji mogą być przetwarzane przez jednego lub więcej użytkowników, przez zadanie przetwarzania lub przez system.
Deklaracja
Deklaracje to skrypty w definicjach procesów i definicjach działań, które zapewniają metody wywoływane podczas tworzenia działania, zmiany statusu i wprowadzania określonych wartości parametrów. Właściwości procesów i działań mogą być elastycznie definiowane poprzez dostosowanie deklaracji. Deklaracje są zapisywane w języku skryptowym.
Zdarzenie końcowe
Węzeł Zdarzenie końcowe reprezentuje ostatni krok procesu w jego wykonaniu. W węźle końcowym można ustawić wyniki procesu i wykonać inne zadania końcowe. Po zakończeniu działania powiązanego z tym węzłem, proces jest również zakończony, a działania i zadania, które nie mają jeszcze statusu końcowego, otrzymują status Zakończone bez przetwarzania. Dlatego węzeł typu Zdarzenie początkowe powinien być połączony z węzłem typu Zdarzenie końcowe za pomocą krawędzi. W definicji procesu istnieje tylko jeden węzeł typu Zdarzenie końcowe.
Szablony obiektów deweloperskich
Szablon obiektu deweloperskiego to zbiorczy termin dla wszystkich szablonów, które można zapisać jako obiekt deweloperski w bazie danych repozytorium. Obejmują one na przykład szablon roli uprawnień lub szablon roli workflow. Dzięki zarządzaniu szablonami jako obiektami deweloperskimi są one automatycznie wersjonowane i mogą być przenoszone do kolejnego systemu przy użyciu logistyki oprogramowania.
Szablon obiektu deweloperskiego służy do tworzenia obiektów odpowiadających szablonowi lub do aktualizacji istniejących. Szablon obiektu deweloperskiego jest zatem obiektem abstrakcyjnym, na podstawie którego tworzone są konkretne obiekty. Na przykład z szablonu roli uprawnień można utworzyć kilka ról uprawnień. Nowa wersja w kolejnym systemie prowadzi do aktualizacji obiektów, które zostały z niego utworzone. Oznacza to, że szablony mogą być rejestrowane na przykład w systemie deweloperskim klienta, transportowane do systemu testowego klienta i testowane, zanim zostaną ostatecznie przetransportowane do systemu produkcyjnego, w którym są faktycznie używane.
Węzeł zdarzenia
Węzeł zdarzenia to etap procesu, który reprezentuje zdarzenie istotne dla procesu zamiast działania. Węzły zdarzeń obejmują zdarzenie początkowe, zdarzenie końcowe, zdarzenie błędu i zdarzenia pośrednie. Działania generowane przez węzeł zdarzeń są przetwarzane przez system.
Prefiks eksportu
Każdy system Comarch ERP Enterprise posiada prefiks eksportu. Prefiks eksportu jest unikalny podczas przesyłania aktualizacji oprogramowania z systemu deweloperskiego do systemu produkcyjnego. W Workflow Management, prefiks eksportu definicji działania jest używany do decydowania, w którym systemie definicja działania może zostać zmieniona i aktywowana. Tylko definicje działań i ról workflow z prefiksem eksportu odpowiadającym prefiksowi eksportu wybranego systemu mogą zostać zmienione. Podczas wprowadzania nowych definicji działań i ról workflow, nowa definicja lub rola otrzymuje prefiks systemu wybranego w momencie wprowadzania.
Zdarzenie błędu
Jeśli podczas wykonywania procesu wystąpi błąd, przepływ sterowania automatycznie przełączy się do węzła typu Zdarzenie błędu. Gdy działanie powiązane z tym węzłem zostanie zakończone, proces również zostanie zakończony. Działania i zadania, które nie mają jeszcze statusu końcowego, otrzymują status Zakończone bez przetwarzania. W ramach definicji procesu istnieje tylko jeden węzeł typu Zdarzenie błędu, który nie może być połączony z żadnym innym węzłem za pomocą krawędzi.
Brama
Bramy są używane w definicjach procesów do rozdzielania przepływu sterowania z jednego węzła i przekazywania go do kilku węzłów (rozgałęzianie) lub do łączenia przepływów sterowania z kilku węzłów i przekazywania ich do pojedynczego węzła (scalanie).
Przepływ sterowania
Przepływ sterowania opisuje sekwencję, w której działania poszczególnych kroków procesu są generowane i przetwarzane podczas wykonywania procesu. W definicjach procesów przepływ sterowania jest reprezentowany jako krawędzie, które łączą węzły ze sobą. Przepływ sterowania musi zawsze mieć dokładnie jedno źródło i jeden cel. Bramy są używane do łączenia więcej niż dwóch węzłów.
Proces
Proces to techniczny opis części procesu biznesowego. Proces składa się z poszczególnych etapów. Etapy procesu mogą być ze sobą powiązane. Ukończenie etapu procesu może uruchomić przetwarzanie innych etapów procesu. Proces ma zdefiniowany początek i koniec. Kroki procesu mogą uzyskiwać dostęp do zmiennych procesu zadeklarowanych w procesie.
Przetwarzanie aplikacji
Aplikacja procesu to aplikacja powiązana z definicją procesu, która służy do ręcznego uruchamiania procesu i przypisywania uprawnień do procesu.
Inicjator procesu
Użytkownik, który rozpoczął proces jest określany jako wyzwalacz procesu. Jeśli proces został utworzony przez silnik workflow, użytkownik, który wyzwolił zarejestrowane zdarzenie, jest uważany za wyzwalacz procesu. W przypadku zaprogramowanych zdarzeń wyzwalacz procesu można określić tylko wtedy, gdy jest on określony przez parametry zdarzenia. Specjalne możliwości mogą być zdefiniowane dla wyzwalacza procesu w definicji procesu.
Uczestnik
Uczestnik procesu to użytkownik, który jest zaangażowany w realizację procesu jako agent kroku procesu. Specjalne umiejętności mogą być zdefiniowane dla uczestników procesu w definicji procesu.
Definicja procesu
Definicja procesu to kompletny opis techniczny procesu operacyjnego lub podprocesu. Składa się z kroków procesu, które opisują proces biznesowy pod względem czasu i organizacji. Definicja procesu jest modelowana jako diagram, którego węzły reprezentują definicje czynności, a krawędzie reprezentują przepływ sterowania. Właściwości procesów i kroków procesu są określane za pomocą definicji procesu i definicji czynności. Definicje procesów są niezależne od bazy danych OLTP i systemu, w którym zostały zarejestrowane, ponieważ nie zawierają ani danych specyficznych dla systemu, ani danych specyficznych dla OLTP. Definicje procesów są zapisywane w bazie danych repozytorium.
Wyniki procesu
Wyniki procesów dodają dodatkowe informacje do procesów. Wyniki procesów mogą być określane przez procesory działań, ale mogą być również definiowane w deklaracjach. Ogólne pola wyników, które można zdefiniować tylko w deklaracjach, są dostępne do analizy działań, np. w aplikacjach typu lista.
Zmienne procesowe
Zmienne procesowe rozszerzają procesy o dodatkowe informacje, które mogą być wyświetlane w procesie. Działania mogą wykorzystywać deklaracje do oceny zmiennych procesowych i przypisywania im wartości.
Właściciel procesu
Właściciel procesu może mieć specjalne umiejętności, które pozwalają mu monitorować proces i interweniować operacyjnie w procesie. Właściciel procesu jest zdefiniowany w definicji procesu i może być użytkownikiem lub rolą workflow.
Systemowy język skryptowy
Wyrażenia, warunki, polecenia, funkcje i deklaracje są używane do wyrażania złożonych relacji. Wszystkie te wyrażenia są częścią wspólnego języka skryptowego zwanego językiem skryptowym systemu. Składnia języka skryptowego systemu jest oparta na SQL, Pascal i Java. Język skryptowy systemu jest używany w Workflow Management, na przykład do formułowania warunku wstępnego lub warunku przejścia lub do określania operatorów, którzy nie są podsumowani w roli workflow.
Zdarzenie początkowe
Węzeł zdarzenia początkowego reprezentuje pierwszy krok procesu w jego wykonaniu. W tym kroku procesu zdarzenie jest rejestrowane podczas tworzenia procesu. Zmienne procesowe są zwykle również inicjowane, a parametry zdarzeń i wyniki działań są zapisywane w zmiennych procesowych. W definicji procesu istnieje tylko jeden węzeł typu zdarzenie początkowe.
Węzeł rozgałęziający
Węzeł rozgałęziający to brama, która rozgałęzia przepływ sterowania z węzła przychodzącego do kilku węzłów wychodzących. Węzeł rozgałęziający może rozgałęziać przychodzący przepływ sterowania przez wszystkie wychodzące krawędzie (AND), przez wszystkie wychodzące krawędzie ze spełnionym warunkiem przejścia (OR) lub przez pierwszą krawędź ze spełnionym warunkiem przejścia (XOR), przy czym warunki przejścia są zawsze oceniane w określonej kolejności.
Silnik workflow
Wraz z usługą zdarzeń, silnik workflow koordynuje i monitoruje wykonywanie workflow Silnik workflow jest wykonywany na serwerze komunikatów w każdym systemie.
Węzeł scalania
Węzeł scalający to brama, która łączy przepływy sterowania z kilku węzłów przychodzących do jednego węzła wychodzącego. Węzeł scalający może poczekać, aż przepływ sterowania będzie dostępny przez wszystkie przychodzące krawędzie i połączyć je w pojedynczy przepływ sterowania i przesłać go przez krawędź wychodzącą (AND) lub może przesłać każdy przychodzący przepływ sterowania natychmiast przez krawędź wychodzącą (XOR).
Zdarzenie pośrednie
Zdarzenie pośrednie jest istotnym dla procesu zdarzeniem pomiędzy zdarzeniem początkowym i końcowym. Proces może rejestrować zdarzenia pośrednie, np. w celu obsługi wyjątków w procesie lub koordynowania jednoczesnego wykonywania kilku procesów.
Opis aplikacji
Aplikacji Definicje procesu można używać do tworzenia lub edytowania definicji procesów. Definicja procesu to kompletny opis techniczny procesu biznesowego lub podprocesu. Składa się z kroków procesu, które opisują proces biznesowy pod względem czasu i organizacji. Definicja procesu jest modelowana jako graf, którego węzły reprezentują definicje działań, a krawędzie reprezentują przepływ sterowania. Właściwości procesów i kroków procesu są określane za pomocą definicji procesu i definicji czynności. Definicje procesów są niezależne od bazy danych OLTP i systemu, w którym zostały zarejestrowane, ponieważ nie zawierają ani danych specyficznych dla systemu, ani danych specyficznych dla OLTP. Definicje procesów są zapisywane w bazie danych repozytorium.
Aplikacja Definicje procesu składa się z obszaru nagłówka i obszaru roboczego.
Nagłówek
Nagłówek zawiera pola, które jednoznacznie identyfikują definicję procesu.
Pola w szczegółach:
- Szablon – za pomocą tego pola można określić, czy definicja procesu jest szablonem. Szablony definicji procesów mają wersję wyświetlaną w polu Wersja. W zależności od tego, czy definicja procesu jest szablonem, na karcie Ustawienia szablonu w obszarze roboczym wyświetlane są różne pola.
- Wersja – jeśli definicja procesu jest szablonem, to pole wyświetla numer wersji otwartej wersji szablonu definicji procesu. Jeśli wyświetlana definicja procesu nie jest szablonem, pole to jest nieaktywne. Pomoc wejściowa wyświetla wszystkie wersje szablonu definicji procesu. Określona wersja z archiwum jest otwierana poprzez wybór.
- [Pokaż aktywną wersję/Pokaż bieżącą wersję] – ten przycisk służy do przełączania między bieżącą (lokalną lub globalną blokadą przez zadanie deweloperskie) a aktywną wersją szablonu definicji procesu. Jeśli otwarta jest starsza wersja, ładowana jest bieżąca wersja, jeśli obiekt deweloperski jest zablokowany, w przeciwnym razie ładowana jest aktywna wersja. Jeśli wyświetlana definicja procesu nie jest szablonem, przycisk ten jest nieaktywny.
- Definicja procesu – do identyfikacji definicji procesu wymagane są następujące dane: prefiks eksportu oraz identyfikacja oparta na przypisaniu typu bazy danych i dowolnie wybieranego ciągu znaków. Identyfikacja definicji procesu jest wprowadzana w polu Definicja procesu. Składa się ona z następujących informacji: wybór typu bazy danych w pierwszym polu wejściowym i dowolnie wybrany ciąg znaków w drugim polu wejściowym.
- Typ bazy danych – w tym polu należy wybrać typ bazy danych, do której ma mieć zastosowanie definicja procesu. Po zapisaniu nowej definicji procesu nie można już zmienić typu bazy danych. Do wyboru są następujące typy baz danych:
- Dane OLTP
- Dane repozytorium
- Ciąg znaków – w tym polu należy wprowadzić ciąg znaków jako identyfikator definicji procesu. Może on składać się z cyfr, liter lub kombinacji cyfr i liter i może być dowolnie wybrany przy pierwszym wprowadzeniu.
- Typ bazy danych – w tym polu należy wybrać typ bazy danych, do której ma mieć zastosowanie definicja procesu. Po zapisaniu nowej definicji procesu nie można już zmienić typu bazy danych. Do wyboru są następujące typy baz danych:
- Prefiks eksportu – prefiks eksportu wskazuje system, w którym zarejestrowano definicję procesu. Wraz z identyfikatorem jednoznacznie identyfikuje definicję procesu. Jeśli prefiks eksportu definicji procesu i prefiks eksportu bieżącego systemu są różne, należy zaakceptować definicję procesu za pomocą akcji Zaakceptuj definicję procesu przed jej aktywacją. Podczas transferu tworzona jest kopia definicji procesu z prefiksem eksportu bieżącego systemu.
- Oznaczenie – ten element kontrolny zawiera metadane i nie może zostać usunięty. Oznaczenie służy jako dodatkowy identyfikator. Może składać się z dowolnie wybranego tekstu. W tym polu należy wprowadzić znaczącą i, jeśli to możliwe, jednoznaczną nazwę, aby ułatwić wyszukiwanie.
Obszar roboczy
Obszar roboczy aplikacji Definicje procesu składa się z następujących zakładek:
- Edytor – na zakładce Edytor proces modelowany jest jako sekwencję kroków procesu, które są reprezentowane jako węzły i połączone krawędziami
- Ogólne – na zakładce Ogólne definiowane są ogólne cechy procesów generowanych na podstawie definicji procesu
- Zmienne procesu – na zakładce Zmienne procesu deklarowane są zmienne procesu dla procesów generowanych z definicji procesu
- Deklaracje – na zakładce Deklaracje deklarowane są stałe, zmienne i funkcje, które mają zastosowanie do wszystkich definicji działań należących do definicji procesu
- Ustawienia szablonu – ustawienia szablonu są wyświetlane na zakładce Ustawienia szablonu, jeśli definicja procesu jest typu Szablon lub została utworzona na podstawie szablonu
Zakładka Edytor
Na zakładce Edytor użytkownik modeluje proces jako sekwencję kroków procesu, które są reprezentowane jako węzły i połączone krawędziami. W tym celu dostępne są następujące elementy:
- Węzeł akcji
- Węzeł zdarzenia
- Brama
- Krawędź (połączenie)
Dla każdego węzła istnieje dokładnie jedna definicja działania. Zachowanie węzła jest określane przez tę definicję działania. Gdy przepływ sterowania osiągnie węzeł w procesie, silnik workflow generuje działanie z definicji działania. Gdy działanie zostanie zakończone, silnik workflow przekazuje przepływ sterowania do następnego węzła poprzez krawędź wychodzącą.
Bramy są używane w definicjach procesów do rozdzielania przepływu sterowania z jednego węzła i przekazywania go do kilku węzłów (rozgałęzianie) lub do łączenia przepływów sterowania z kilku węzłów i przekazywania ich do pojedynczego węzła (scalanie).
Proces kończy się po zakończeniu działania powiązanego ze zdarzeniem końcowym. Działania i zadania, które nie mają jeszcze statusu końcowego, otrzymują status Zakończone bez przetwarzania. Jeśli proces nie ma już przepływu sterowania lub wystąpi błąd w kroku procesu, proces kończy się za pośrednictwem węzła błędu.
W zależności od typu węzła, definicje działań mogą być edytowane w różny sposób. Typ nowo dodanych węzłów można zmienić w oknie dialogowym edycji węzła do momentu zapisania procesu. Po zapisaniu nie można już zmienić typu węzła.
Położenie elementów procesu można zmieniać metodą przeciągnij i upuść. W przypadku wybrania kilku elementów ich kolejność jest wyświetlana w edytorze jako liczba. Kolejność określa między innymi kierunek krawędzi podczas łączenia węzłów ze sobą. Położenie elementów na diagramie procesu nie ma wpływu na wykonanie procesu. Należy rozmieścić elementy tak, aby diagram procesu był wyświetlany w sposób jak najbardziej przejrzysty i zrozumiały. Można także wykonać akcje Autoukład i Ułóż ponownie krawędzie, aby automatycznie zmienić rozmieszczenie elementów na schemacie procesu lub zmienić przebieg wybranych krawędzi.
Przeciągnięcie węzła do lewej lub dolnej krawędzi okna może spowodować powiększenie obszaru rysowania. Jeśli element nie może być wyświetlony poprawnie, np. ponieważ zachodzi na inny element, zostanie wyświetlony na czerwono i prawdopodobnie bez krawędzi. W takim przypadku należy zmienić położenie elementów, aż schemat procesu będzie wyświetlany prawidłowo.
Węzeł akcji
Węzeł akcji jest krokiem procesu, który reprezentuje działanie dla jednego lub więcej operatorów. W zależności od typu, węzeł akcji jest przetwarzany przez użytkowników, przez system lub przez zlecenie przetwarzania.
Węzeł akcji jest wyświetlany jako prostokąt, a nazwa węzła (tutaj: Tekst) jest wyświetlana jako tekst w tym prostokącie.
Niektóre typy węzłów obsługują określone działania, takie jak podejmowanie decyzji, wysyłanie wiadomości e-mail lub generowanie i przetwarzanie zadań przetwarzania w tle. Następujące typy węzłów są możliwe dla węzłów akcji:
- Węzeł użytkownika – ten typ węzła jest wykorzystywany w definicjach procesów do tworzenia działań dla jednego lub więcej użytkowników. Z reguły działanie reprezentuje akcje, które użytkownik wykonuje w Comarch ERP Enterprise.
- Węzeł wyboru – ten typ węzła jest używany w definicjach procesów do tworzenia działań, za pomocą których operatorzy mogą wybierać jednostki biznesowe, które są na przykład oceniane w deklaracjach i zapisywane w zmiennych procesu. Węzeł wyboru jest edytowany przez jednego lub więcej użytkowników.
- Węzeł usługi – ten typ węzła jest używany w definicjach procesów do tworzenia działania, które wywołuje aplikację działającą w tle. Węzeł usługi jest przetwarzany przez zadanie przetwarzania.
- Węzeł skryptu – ten typ węzła jest używany w definicjach procesów do tworzenia działania, które wywołuje skrypty w deklaracjach, ale nie wymaga dalszego przetwarzania przez użytkownika. Węzeł skryptu jest przetwarzany przez system.
- Węzeł e-mail – ten typ węzła jest używany w definicjach procesów do wysyłania wiadomości e-mail. Węzeł e-mail jest przetwarzany przez system.
- Węzeł decyzji – ten typ węzła jest używany w definicjach procesów do tworzenia działań, które umożliwiają operatorom wybór między dwiema opcjami, takimi jak zatwierdzenie lub odrzucenie zamówienia. Węzeł decyzyjny jest przetwarzany przez jednego lub więcej użytkowników.
- Węzeł prezentacji – ten typ węzła jest używany w definicjach procesów do tworzenia działania dla jednego lub więcej użytkowników. Węzeł prezentacji różni się od węzła użytkownika jedynie sposobem wyświetlania działania. Podczas gdy węzeł użytkownika koncentruje się na przetwarzaniu działania opisanego w działaniu, węzeł prezentacji podkreśla tekst działania, tj. zawartość informacyjną.
- Interaktywny węzeł e-mail – ten typ węzła jest używany w definicjach procesów do wysyłania wiadomości e-mail. W przeciwieństwie do węzła e-mail, edytorzy mają możliwość edycji tekstu przed wysłaniem. Interaktywny węzeł e-mail jest edytowany przez jednego lub więcej użytkowników.
- Węzeł usługi sieci Web – ten typ węzła jest używany w definicjach procesów do wywoływania zewnętrznej usługi internetowej za pomocą aplikacji w tle ServiceClient. Aplikacja działająca w tle korzysta z protokołu HTTP i może wywoływać zewnętrzne usługi sieciowe za pośrednictwem JSON/REST i XML/SOAP. Wyniki można analizować za pomocą funkcji getServiceResponse().
Węzeł zdarzeń
Węzeł zdarzeń jest krokiem procesu, który reprezentuje zdarzenie istotne dla procesu zamiast działania. Działania generowane przez węzeł zdarzeń są zawsze przetwarzane przez system.
Węzeł zdarzenia jest wyświetlany jako okrąg. Dokładny wygląd okręgu zależy od typu węzła. Dla węzłów zdarzeń dostępne są następujące typy węzłów:
- Zdarzenie początkowe – ten typ węzła reprezentuje pierwszy krok procesu w jego wykonaniu. Jest on wyświetlany jako niewypełniony okrąg z cienkim konturem. Zdarzenie jest rejestrowane w tym węźle podczas tworzenia procesu. Zmienne procesu są zwykle również inicjowane, a parametry zdarzeń i wyniki działań są zapisywane w zmiennych procesu. W ramach definicji procesu istnieje tylko jeden węzeł typu Zdarzenie początkowe. Definicja działania powiązana z tym węzłem jest używana do decydowania, w jaki sposób procesy są generowane z definicji procesu. Jeśli zdarzenie zostało zarejestrowane w definicji działania, proces jest tworzony automatycznie po wystąpieniu tego zdarzenia, pod warunkiem, że spełniony jest warunek przejścia. Jeśli natomiast żadne zdarzenie nie zostało zarejestrowane, proces musi zostać utworzony ręcznie. Działanie powiązane z węzłem Zdarzenie początkowe jest przetwarzane przez system. Jeśli jednak proces został uruchomiony ręcznie, zadanie powiązane z działaniem jest przypisywane do wyzwalacza procesu.
- Zdarzenie końcowe – ten typ węzła reprezentuje ostatni etap wykonywania procesu. Jest on wyświetlany jako okrąg z grubym konturem i innym okręgiem jako wypełnieniem. W tym węźle można ustawić wyniki procesu i wykonać inne zadania końcowe. Gdy działanie należące do tego węzła zostanie zakończone, proces również zostanie zakończony, a działania i zadania, które nie mają jeszcze statusu końcowego, otrzymają status Zakończone bez przetwarzania. W definicji procesu istnieje tylko jeden węzeł typu Zdarzenie końcowe. Aby wykonać proces bez błędów, węzeł typu Zdarzenie początkowe musi być połączony z węzłem typu Zdarzenie końcowe za pomocą krawędzi. Działanie powiązane z węzłem Zdarzenie końcowe jest przetwarzana przez system.
- Zdarzenie błędu – jeśli podczas wykonywania procesu wystąpi błąd, przepływ sterowania automatycznie przełączy się do węzła typu Zdarzenie błędu. Jest on wyświetlany jako niewypełniony okrąg z symbolem błyskawicy. Gdy działanie powiązane z tym węzłem zostanie zakończone, proces zostanie również zakończony, a działania i zadania, które nie mają jeszcze statusu końcowego, otrzymają status Zakończone bez przetwarzania. W ramach definicji procesu istnieje tylko jeden węzeł typu Zdarzenie błędu, który nie może być połączony z żadnym innym węzłem za pomocą krawędzi. Działanie powiązane z węzłem Zdarzenie błędu jest przetwarzane przez system. Powiadomienie e-mail jest jednak wysyłane do administratorów workflow. Możliwe przyczyny stanów błędu to np.:
- Proces generuje zbyt wiele działań z powodu nieskończonej pętli
- Ostatni przepływ sterowania procesu nie może być już przekazywany dalej
- Zdarzenie pośrednie – ten typ węzła reprezentuje istotne dla procesu zdarzenie pomiędzy zdarzeniem początkowym i końcowym. Jest ono przedstawione jako niewypełniony okrąg z podwójnym konturem. Zdarzenia pośrednie są używane na przykład do obsługi wyjątków w procesie lub do koordynowania jednoczesnego wykonywania kilku procesów. Przepływ sterowania, który dociera do działania powiązanego ze zdarzeniem pośrednim, jest przekazywany tylko wtedy, gdy zdarzenie zarejestrowane w definicji działania wystąpi, a warunek przejścia zostanie spełniony. Działanie powiązane z węzłem typu Zdarzenie pośrednie jest przetwarzane przez system.
- Zdarzenie czasomierza – gdy przepływ procesu osiągnie zdarzenie czasomierza, przepływ procesu oczekuje na zdarzenie czasomierza. W zależności od spełnienia warunku serii, przepływ procesu jest przekazywany dalej i w razie potrzeby generowane są kolejne przepływy procesu. Zdarzenie czasomierza jest wyświetlane jako zegar z podwójnym konturem. Działanie powiązane z typem węzła jest przetwarzane przez system.
- Zdarzenie końcowe bez określonego terminu – ten rodzaj węzła kończy przepływ sterowania, który nie osiągnął zdarzenia końcowego. Jest on wyświetlany jako niewypełniony okrąg z grubym konturem. Jeśli przepływ sterowania osiągnie niekończące zdarzenie końcowe, przepływ sterowania pozostanie tam po wywołaniu metody close(). Jeśli w procesie znajdują się inne przepływy sterowania, są one kontynuowane. Jeśli w procesie nie ma więcej przepływów sterowania, niekończące się zdarzenie końcowe przekazuje przepływ sterowania do zdarzenia końcowego, a proces kończy się za pośrednictwem zdarzenia końcowego.
Bramy
Bramy są używane w definicjach procesów do rozdzielania przepływu sterowania z jednego węzła i przekazywania go do kilku węzłów (rozgałęzianie) lub do łączenia przepływów sterowania z kilku węzłów i przekazywania ich do pojedynczego węzła (scalanie).
Brama jest reprezentowana przez żółty romb, a właściwości (wyłączne, włączające lub równoległe) są pokazane jako symbol wewnątrz tego rombu. Nie ma oddzielnej definicji działania dla bramy. Warunkowa gałąź jest definiowana przez przejścia definicji działania należącej do węzła, który jest połączony z bramą przez przychodzącą krawędź.
Brama dla gałęzi ma dokładnie jedną krawędź przychodzącą i co najmniej dwie krawędzie wychodzące. Brama dla scalenia ma co najmniej dwie krawędzie przychodzące i dokładnie jedną krawędź wychodzącą. Jeśli przepływ sterowania jest podzielony z kilku krawędzi przychodzących na kilka krawędzi wychodzących, jest to reprezentowane za pomocą kilku bramek. Gałęzie z tylko jedną krawędzią wychodzącą i połączenia z tylko jedną krawędzią przychodzącą nie są wyświetlane. Wyświetlana jest jednak gałąź integracyjna z tylko jedną krawędzią, ponieważ umożliwia to warunek przejścia, za pomocą którego można zatrzymać przepływ sterowania do następnego węzła akcji.
Rozgałęzienia
Rozgałęzienia w szczegółach:
- Rozgałęzienie wyłączne do krawędzi wychodzącej (wyłączne, XOR) — gdy przepływ sterowania osiąga gałąź wyłączną, jest przekazywany przez pierwszą krawędź wychodzącą, której warunek przejścia jest spełniony. Krawędzie mają unikalny numer, który określa kolejność oceny warunków przejścia i jest wyświetlany na diagramie procesu. Ponieważ warunek przejścia ostatniej krawędzi jest pusty i nie może być edytowany, jest on zawsze uważany za spełniony. Przepływ sterowania jest przekazywany przez ostatnią krawędź, jeśli warunki przejścia wszystkich innych krawędzi nie są spełnione. Warunki przejścia są określane przez definicję działania należącą do węzła, który jest połączony z bramą przez krawędź przychodzącą.
- Rozgałęzienie włączające dla gałęzi wychodzących po weryfikacji warunków przejścia (włącznie, OR) — jeśli przepływ sterowania osiągnie gałąź włączającą, jest przekazywany do wszystkich wychodzących krawędzi, których warunek przejścia jest spełniony. Liczba krawędzi i kolejność oceny są nieistotne. Warunki przejścia są określane przez definicję działania należącą do węzła, który jest połączony z bramą przez krawędź przychodzącą.
- Rozgałęzienie równoległe do wszystkich wychodzących krawędzi (równoległe, AND) — jeśli przepływ sterowania osiągnie równoległą gałąź, jest on dzielony i przekazywany na wszystkich wychodzących krawędziach bez oceny warunku przejścia.
Połączenia
Połączenia w szczegółach:
- Połączenie wyłączne z dowolnej przychodzącej krawędzi (wyłączne, XOR) — wyłączne scalanie natychmiast przekazuje przepływ sterowania z każdej krawędzi przychodzącej do krawędzi wychodzącej. Jeśli na przykład dwa przepływy sterowania docierają do bramy, oba przepływy sterowania są przekazywane dalej.
- Połączenie równoległe od wszystkich przychodzących krawędzi (równoległe, AND) — scalanie równoległe przekazuje przepływ sterowania do krawędzi wychodzącej tylko wtedy, gdy co najmniej jeden przepływ sterowania dotarł do każdej krawędzi przychodzącej. Przepływy sterowania są zliczane dla każdej przychodzącej krawędzi. Jeśli liczniki wszystkich krawędzi przychodzących wynoszą co najmniej jeden, przepływ sterowania jest kierowany do krawędzi wychodzącej, a liczniki są zmniejszane o jeden.
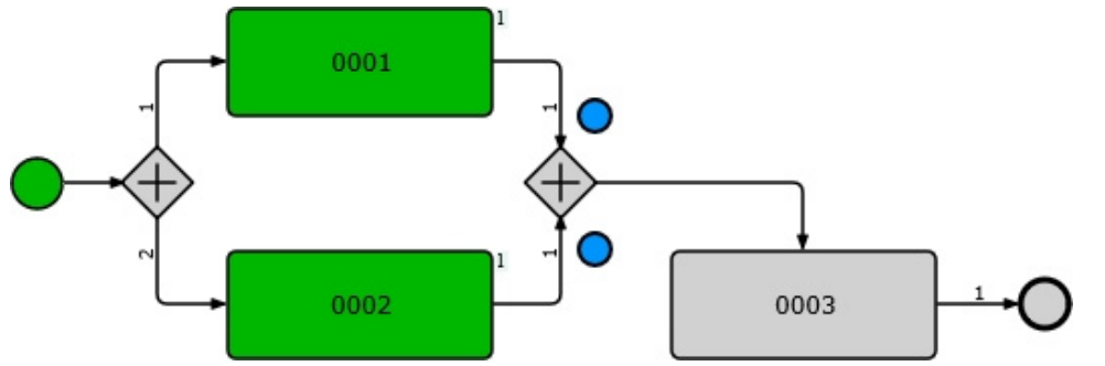
Poniższy przykład przedstawia proces z równoległym rozgałęzianiem i równoległym scalaniem. Działania do przetworzenia są czerwone, ukończone działania są zielone, a działania, które nie zostały jeszcze utworzone, są szare. Przepływ sterowania jest wizualizowany za pomocą niebieskiej kropki.
Zdarzenie startowe tworzy nowy przepływ sterowania. Równoległa gałąź rozdziela go między dwa węzły akcji 0001 i 0002. Ponieważ działania związane z węzłami akcji nie zostały jeszcze zakończone, przepływy sterowania oczekują w dwóch węzłach akcji.

Po zakończeniu działania 0001 przepływ sterowania jest przekazywany dalej. Ponieważ scalanie równoległe wymaga przepływu sterowania z każdej przychodzącej krawędzi, przepływ sterowania nie jest jeszcze przekazywany do węzła 0003.

Po zakończeniu działania 0002 obie przychodzące krawędzie mają przepływ sterowania.

W połączeniu równoległym przepływ sterowania z każdej przychodzącej krawędzi jest zużywany, a nowy przepływ sterowania jest generowany i przekazywany dalej. Przekazany przepływ sterowania znajduje się teraz w węźle 0003.

Gdy działanie 0003 również zostanie zakończone, przepływ sterowania zostanie wykorzystany przez zdarzenie końcowe i proces zostanie zakończony.

Proces ze zdarzeniem błędu
Proces kończy się zdarzeniem błędu, jeśli nie ma już przepływu sterowania lub silnik workflow rozpoznaje, że żaden przepływ sterowania nie może dotrzeć do zdarzenia końcowego.
Poniższa ilustracja przedstawia ten sam proces, co w poprzednim przykładzie, z tą różnicą, że zamiast gałęzi równoległej używana jest gałąź wyłączna. Gałąź wyłączna przekazuje przepływ sterowania przez pierwszą krawędź ze spełnionym warunkiem przejścia, w tym przypadku krawędź 1.
Po zakończeniu czynności należącej do węzła akcji 0001, silnik workflow rozpoznaje, że nie ma przepływu sterowania, który mógłby zostać przekierowany przez krawędź węzła 0002 i kończy proces poprzez zdarzenie błędu.

Krawędzie
Krawędzie łączą węzły ze sobą i w ten sposób określają przepływ sterowania. Są one wyświetlane jako linie proste na diagramie procesu. Wychodzące krawędzie mają unikalny numer dla gałęzi, który jest wyświetlany zarówno na diagramie procesu, jak i w warunku przejścia definicji działania. Można również nadać krawędzi nazwę za pomocą akcji [Edytuj węzeł].
Jeśli węzeł ma więcej niż jednego poprzednika lub następnika, do diagramu procesu dodawane są bramki, które rozdzielają lub łączą krawędzie w taki sposób, że każdy węzeł jest połączony z bramką przez co najwyżej jedną krawędź przychodzącą i jedną wychodzącą.
Można użyć akcji [Ułóż ponownie krawędzie], aby automatycznie zmienić przebieg wybranych krawędzi. Po kliknięciu krawędzi wyświetlane są prostokątne znaczniki, które umożliwiają ręczną zmianę kursu. Jeśli krawędź składa się z kilku segmentów, znaczniki są wyświetlane dla klikniętego segmentu.
Aby zmienić przebieg krawędzi, należy wybrać segment krawędzi, który ma zostać zmieniony i przeciągnąć znacznik w żądanym kierunku.

Aby ponownie dołączyć krawędź, należy wybrać segment krawędzi, który ma zostać ponownie dołączony i przeciągnąć zaznaczenie do żądanej pozycji. Jeśli kilka segmentów krawędzi nakłada się na siebie, po wybraniu nakładania się wyświetlane jest okno dialogowe, w którym można wybrać jedną z krawędzi do edycji.

Działania na pasku narzędzi
Do graficznego modelowania procesu można użyć akcji, dostępnych na pasku narzędzi edytora.
Wszystkie akcje z wyjątkiem Zmniejsz, Zoom, Powiększ, Ułóż ponownie krawędzie i Cofnij ostatnią zmianę są również dostępne w menu kontekstowym edytora.
Akcja [Węzeł użytkownika]
Akcji należy użyć, aby dodać węzeł akcji lub węzeł zdarzenia do otwartej definicji procesu. Należy wybrać strzałkę w dół, aby otworzyć menu i wybrać typ węzła, który ma zostać dodany. Węzeł ten można edytować za pomocą akcji [Edytuj węzeł]. Można na przykład zmienić nazwę, typ rozgałęzienia lub scalenia oraz typ węzła. Po zapisaniu definicji procesu nie można już zmienić typu węzła.
Akcja [Powiąż węzły]
Tej akcji można użyć, aby połączyć dwa lub więcej węzłów akcji. W tym celu dostępne są opcje Powiąż węzły, Utwórz równoległe rozwidlenia węzła i Scal równolegle węzeł. Należy wybrać strzałkę w dół, aby otworzyć menu i wybrać żądaną opcję dla akcji. Aby połączyć węzły, należy je zaznaczyć, przytrzymując klawisz Shift, a następnie wykonać akcję z wybraną opcją. Krawędzie są tworzone w kolejności, w jakiej wybrano węzły akcji. Opcje wyboru akcji w szczegółach:
- Powiąż węzły – akcję należy wybrać, aby połączyć dwa lub więcej węzłów bezpośrednio ze sobą. Nie są tworzone żadne rozgałęzienia ani scalenia.
- Utwórz równoległe rozwidlenia węzła – akcję należy wybrać, aby połączyć kilka węzłów równolegle. Spowoduje to utworzenie gałęzi. Typ rozgałęzienia można zmienić za pomocą akcji [Edytuj węzeł], o ile zmiany nie zostały jeszcze zapisane.
- Scal równolegle węzeł – akcję należy wybrać, aby połączyć kilka węzłów równolegle. Spowoduje to utworzenie scalenia. Typ scalenia można zmienić za pomocą akcji [Edytuj węzeł], o ile zmiany nie zostały jeszcze zapisane.
Akcja [Duplikuj węzeł]
Akcji należy użyć, aby zduplikować wybrany węzeł akcji. Węzły zdarzeń nie mogą być duplikowane.
Akcja [Usuń węzeł]
Za pomocą tej akcji można usunąć z definicji procesu wybrane elementy, takie jak węzły, zdarzenia, gałęzie, połączenia lub krawędzie. Usunięcie węzła akcji powoduje również usunięcie powiązanych z nim bram oraz wszystkich przychodzących i wychodzących krawędzi.
Akcja [Edytuj węzeł]
Tej akcji należy użyć, aby zdefiniować właściwości wybranego węzła lub zdarzenia. Można na przykład zmienić nazwę, typ rozgałęzienia lub scalenia. Wykonanie akcji dla wybranego węzła lub zdarzenia spowoduje otwarcie okna dialogowego edycji węzła
Pola okna dialogowego w szczegółach:
- Węzeł – identyfikacja wybranego węzła jest wyświetlana w tym polu. Każdy nowo dodany węzeł otrzymuje kolejny numer jako identyfikator, którego nie można zmienić.
- Typ węzła – w tym polu wyświetlany jest typ wybranego węzła. Typ węzła można zmienić dla nowo utworzonych węzłów akcji. Po zapisaniu definicji procesu nie można już edytować typu węzła.
- Oznaczenie – automatycznie przypisaną nazwę wybranego węzła można zmienić w polu Oznaczenie. Nazwa węzła ma również zastosowanie jako nazwa definicji działania powiązanej z węzłem. Jeśli pole Temat w definicji działania ma taką samą wartość jak nazwa, zmiany nazwy dotyczą również pola Temat.
- Łączenie – tego pola należy użyć, aby określić typ scalenia dla wybranego węzła:
- Łączenie wyłączone z dowolnej przychodzącej krawędzi (wyłączne, XOR) – wyłącznie scalanie przekazuje przepływ sterowania z każdej krawędzi przychodzącej do krawędzi wychodzącej. Jeśli na przykład dwa przepływy sterowania docierają do bramy, oba przepływy sterowania są przekazywane dalej.
- Łączenie równoległe wszystkich przychodzących krawędzi (równoległe, AND) – scalenie równoległe przekazuje przepływ sterowania do krawędzi wychodzącej tylko wtedy, gdy co najmniej jeden przepływ sterowania dotarł do każdej krawędzi przychodzącej. Przepływy sterowania są zliczane dla każdej przychodzącej krawędzi. Jeśli liczniki wszystkich krawędzi przychodzących wynoszą co najmniej jeden, przepływ sterowania jest kierowany do krawędzi wychodzącej, a liczniki są zmniejszane o jeden.
- Rozgałęzienie – należy użyć tego pola, aby określić typ gałęzi dla wybranego węzła:
- Gałąź wyłączna do krawędzi wychodzącej (wyłączna, XOR) – gdy przepływ sterowania osiąga gałąź wyłączną, jest przekazywany przez pierwszą krawędź wychodzącą, której warunek przejścia jest spełniony. Krawędzie mają unikalny numer, który określa kolejność oceny warunków przejścia i jest wyświetlany na diagramie procesu. Ponieważ warunek przejścia ostatniej krawędzi jest pusty i nie można go edytować, jest on zawsze uważany za spełniony. Przepływ sterowania jest przekazywany przez ostatnią krawędź, jeśli warunki przejścia wszystkich innych krawędzi nie są spełnione. Warunki przejścia są określane przez definicję działania, która należy do węzła połączonego z bramą przez krawędź przychodzącą.
- Gałąź wyłączna dla wychodzących krawędzi po sprawdzeniu warunków przejścia (inclusive, OR) – jeśli przepływ sterowania osiągnie gałąź włączającą, jest przekazywany do wszystkich wychodzących krawędzi, których warunek przejścia jest spełniony. Liczba krawędzi i kolejność oceny są nieistotne. Warunki przejścia są określane przez definicję działania należącą do węzła, który jest połączony z bramą przez krawędź przychodzącą.
- Rozgałęzienie równoległe do wszystkich wychodzących krawędzi (równoległe, AND) – jeśli przepływ sterowania osiągnie równoległą gałąź, jest on dzielony i przekazywany na wszystkich wychodzących krawędziach bez oceny warunku przejścia
Oprócz pól, okno dialogowe zawiera tabelę krawędzi pochodzących z węzła z następującymi kolumnami:
- Oznaczenie – w tej kolumnie należy wprowadzić nazwę krawędzi prowadzącej od wybranego węzła do innego węzła, jeśli jest to wymagane. Inny węzeł może być zarówno węzłem akcji, jak i węzłem zdarzeń.
- Definicja działania – w tej kolumnie można przypisać definicje działań jako cele do krawędzi pochodzących z wybranego węzła. Definicję działania można przypisać tylko raz w tabeli.
Do edycji danych w tabeli dostępne są następujące akcje:
- [Dodaj nowy wiersz] – należy użyć tej akcji, aby dodać nowy wiersz do tabeli w celu dodania nowej krawędzi wychodzącej do wybranego węzła i przypisania do niego istniejącej definicji działania jako celu
- [Wstaw/Usuń znacznik usuwania] – ta akcja umożliwia ustawienie wskaźnika usunięcia dla przypisanej definicji działania w uprzednio wybranym wierszu tabeli. Wskaźnik usunięcia zostanie ponownie usunięty po ponownym naciśnięciu przycisku. Wiersz oznaczony w ten sposób jest usuwany z tabeli, a powiązana krawędź jest usuwana z diagramu procesu dopiero po jego zaakceptowaniu.
- [Przesuń wiersz na pierwszą pozycję] – tej akcji należy użyć, aby przenieść wybrany wiersz tabeli na pierwszą pozycję w tabeli. Za pomocą akcji sortowania można zdefiniować kolejność krawędzi, a tym samym kolejność, w jakiej oceniane są warunki przejścia dla gałęzi. Warunki przejścia można wprowadzić w definicji działania powiązanej z wybranym węzłem.
- [Przesuń wiersz na pierwszą pozycję w górę] – tej akcji należy użyć, aby przesunąć wybrany wiersz tabeli o jedną pozycję w górę w tabeli. Za pomocą akcji sortowania można zdefiniować kolejność krawędzi, a tym samym kolejność, w jakiej oceniane są warunki przejścia dla gałęzi. Warunki przejścia można wprowadzić w definicji działania powiązanej z wybranym węzłem.
- [Przesuń wiersz o jedną pozycję w dół] – należy użyć tej akcji, aby przesunąć wybrany wiersz tabeli o jedną pozycję w dół w tabeli. Za pomocą akcji sortowania można zdefiniować kolejność krawędzi, a tym samym kolejność, w jakiej oceniane są warunki przejścia dla gałęzi. Warunki przejścia można wprowadzić w definicji działania powiązanej z wybranym węzłem.
- [Przesuń wiersz na ostatnią pozycję] – tej akcji należy użyć, aby przenieść wybrany wiersz tabeli na ostatnią pozycję w tabeli. Za pomocą akcji sortowania można zdefiniować kolejność krawędzi, a tym samym kolejność, w jakiej oceniane są warunki przejścia dla gałęzi. Warunki przejścia można wprowadzić w definicji działania powiązanej z wybranym węzłem.
Akcja [Otwórz aplikację „Definicje działania”]
Tej akcji należy użyć, aby otworzyć definicję działania powiązaną z wybranym węzłem, np. w celu jej edycji. Jeśli wybrano gałąź lub scalenie, akcja otwiera definicję działania należącą do węzła połączonego z bramą. Przed otwarciem definicji działania należy zapisać definicję procesu. Nie można użyć tej akcji, dopóki istnieją niezapisane zmiany.
Akcja [Edytuj ustawienia]
Za pomocą tej akcji można zdefiniować właściwości edytora, takie jak wyświetlanie lub ukrywanie siatki oraz automatyczne wyrównywanie elementów do siatki. Po wykonaniu akcji otwarte zostanie okno dialogowe Edytuj ustawienia z następującymi polami:
- Wyrównaj obiekty do siatki – tej funkcji należy użyć, aby określić, czy obiekty powinny być wyrównane do siatki. Jeśli funkcja jest aktywna, węzły i krawędzie definicji procesu są automatycznie wyrównywane do siatki, gdy są przenoszone.
- Pokaż siatkę na ekranie – tą funkcję należy aktywować, aby wyświetlić siatkę na schemacie procesu
- Odstęp (piksele) – w tym polu można określić odstępy siatki w pikselach
Akcja [Zmniejsz]
Tej akcji należy użyć, aby zmniejszyć wyświetlanie diagramu procesu do następnej mniejszej wartości w polu Powiększenie.
Akcja [Zoom]
Za pomocą tej akcji można powiększyć lub pomniejszyć wyświetlany schemat procesu. Należy wybrać jeden z dostępnych współczynników powiększenia od 10% do 200% lub wprowadzić dowolną wartość współczynnika powiększenia.
Akcja [Powiększ]
Tej akcji należy użyć, aby powiększyć wyświetlanie diagramu procesu do następnej większej wartości w polu Powiększenie.
Akcja [Wydaj diagram procesu]
Tej akcji należy użyć, aby otworzyć okno, które wyświetla diagram procesu jako dokument PDF i udostępnia akcje umożliwiające zapisanie i wyprowadzenie diagramu procesu.
Akcja [Autoukład]
Tej akcji należy użyć, aby automatycznie zreorganizować elementy diagramu procesu. Efekt działania można cofnąć za pomocą akcji [Cofnij ostatnią zmianę].
Akcja [Ułóż ponownie krawędzie]
Tej akcji należy użyć, aby przenieść wybrane krawędzie. Efekt działania można cofnąć za pomocą przycisku [Cofnij ostatnią zmianę].
Akcja [Cofnij ostatnią zmianę]
Tej akcji należy użyć, aby cofnąć ostatnią zmianę diagramu procesu. Ta akcja jest możliwa tylko w przypadku zmian, które nie zostały jeszcze zapisane.
Zakładka Ogólne
Na zakładce Ogólne definiuje się ogólne cechy procesów, które są generowane na podstawie definicji procesu. Zakładka składa się z następujących pól:
- Czas opracowania – czas opracowania służy do określenia, jak długo proces powinien być przetwarzany. Jeśli czas przetwarzania zostanie przekroczony, status procesu zmieni się na Zaległe. Domyślną wartość czasu przetwarzania można zdefiniować w funkcji konfiguracji Workflow Management. Aby zmienić czas trwania przetwarzania w deklaracjach, można użyć polecenia setProcessWorkDuration w języku skryptowym systemu.
- Okres przechowywania – okres przechowywania służy do określenia momentu, od którego proces może zostać zreorganizowany po jego zakończeniu. Podczas reorganizacji procesów okres przechowywania jest dodawany do czasu trwania określonego w zleceniu reorganizacji. Jeśli na przykład wprowadzona zostanie wartość 12 tygodni w kolejności reorganizacji, proces z rocznym okresem przechowywania zostanie zreorganizowany tylko wtedy, gdy został ukończony co najmniej rok i 12 tygodni temu. Domyślną wartość okresu przechowywania definiuje się w funkcji konfiguracji Workflow Management.
- Obszar – w tym polu można przypisać strukturę do definicji procesu. Przypisanie jest używane do wyświetlania definicji procesu w dokowanym oknie rozpoczęcia procesu aplikacji Procesy.
- Przetwarzanie aplikacji – w tym polu wyświetlana jest aplikacja procesu powiązana z szablonem definicji procesu. Aplikacja procesu jest używana do uruchomienia procesu, jeśli definicja działania powiązana ze zdarzeniem uruchomienia nie zarejestrowała zdarzenia, a zatem proces nie uruchamia się automatycznie. Jeśli szablon definicji procesu nie jest powiązany z aplikacją procesu, proces jest uruchamiany w aplikacji Procesy. Aplikacja procesu może być również używana do definiowania uprawnień do uruchamiania procesu. W tym celu aplikacja procesu musi być powiązana z szablonem definicji procesu, który zarejestrował zdarzenie typu Akcja użytkownika. Obowiązuje wówczas następująca zasada: Jeśli użytkownik jest upoważniony do otwarcia aplikacji procesu, jest on również upoważniony do rozpoczęcia procesu.
Sekcja Uprawnienia
W tej sekcji definiuje się uprawnienia dla procesów utworzonych na podstawie definicji procesu.
Pola w szczegółach:
- Pochodzenie osoby odpowiedzialnej – w tym polu należy wprowadzić pochodzenie właścicieli procesu. Osoby odpowiedzialne za proces są wyświetlane w aplikacji Procesy i aplikacjach typu lista dla procesów. Możliwe wartości to:
- Użytkownik
- Rola workflow
- Odpowiedzialny użytkownik – w tym polu można zdefiniować użytkownika jako osobę odpowiedzialną za procesy tworzone na podstawie definicji procesu. Pole to jest aktywne tylko po wybraniu pozycji Użytkownik w polu Pochodzenie osoby odpowiedzialnej. Użytkownik jest wyświetlany w aplikacji Procesy i aplikacjach typu lista dla procesów.
- Odpowiedzialna rola workflow – w tym polu można określić rolę workflow, której właściciel jest odpowiedzialny za proces. Pole to jest aktywne tylko po wybraniu pozycji Rola workflow w polu Pochodzenie osoby odpowiedzialnej. Rola workflow jest wyświetlana w aplikacji Procesy i aplikacjach typu lista dla procesów.
- Prawa dostępu dla podmiotów odpowiedzialnych – w tym polu można określić, jakie specjalne możliwości otrzymują osoby odpowiedzialne za procesy utworzone na podstawie tej definicji procesu. Możliwe możliwości to:
- Bez – osoby odpowiedzialne nie otrzymują żadnych specjalnych funkcji dotyczących procesów
- Domyślny – osoby odpowiedzialne mogą wyświetlać procesy oraz ich działania i zadania
- Rozszerzony – osoby odpowiedzialne mogą również zakończyć procesy bez ich przetwarzania
- Administracyjny – osoby odpowiedzialne za proces mogą interweniować operacyjnie i na przykład przekazywać zadania, które nie zostały ukończone na czas, innym operatorom
- Prawa dostępu dla inicjatorów – w tym polu można określić, jakie specjalne możliwości otrzymują inicjatorzy procesów utworzonych na podstawie tej definicji procesu. Możliwe możliwości to:
- Bez – inicjatorzy nie otrzymują żadnych specjalnych zdolności za pośrednictwem procesów
- Domyślny – inicjatorzy mogą wyświetlać procesy oraz ich działania i zadania
- Rozszerzony – inicjatorzy mogą również kończyć procesy bez ich przetwarzania. Może to być przydatne, jeśli na przykład inicjator chce wycofać przesłany wniosek o autoryzację.
- Prawa dostępu dla podmiotów uczestniczących – w tym polu można określić, które specjalne możliwości uczestnicy procesu otrzymują za pośrednictwem procesów utworzonych na podstawie tej definicji procesu. Możliwe możliwości to:
- Bez – uczestnicy mogą wyświetlać procesy oraz ich działania i zadania tylko wtedy, gdy mają zadanie związane z danym procesem
- Domyślny – uczestnicy mogą również wyświetlać procesy, jeśli są właścicielami typu Użytkownik roli workflow, która jest operatorem kroku procesu. Nie ma znaczenia, czy działanie zostało wygenerowane dla kroku procesu, czy nie. Może to być zatem przyszły krok procesu.
- Rozszerzone – uczestnicy mogą również kończyć procesy bez ich przetwarzania
- Administracyjne – uczestnicy mogą interweniować operacyjnie w proces i na przykład przekazywać zadania, które nie zostały ukończone na czas, innym operatorom
- Prawo dostępu dla podmiotów nieuczestniczących – w tym polu można określić, które specjalne możliwości otrzymują niezaangażowani użytkownicy za pośrednictwem procesów utworzonych na podstawie tej definicji procesu. Możliwe możliwości to:
- Bez – osoby postronne nie otrzymają żadnych specjalnych zdolności za pośrednictwem procesów
- Domyślny – niezaangażowani użytkownicy mogą wyświetlać procesy oraz ich działania i zadania. W przypadku wybrania opcji Domyślny, wszyscy użytkownicy w systemie mogą wyświetlać procesy. Jeśli proces ma odniesienie organizacyjne, tylko ci niezaangażowani użytkownicy, którzy są przypisani do tej organizacji, mogą wyświetlać proces.
- Prawo dostępu dla konsultowanych użytkowników – w tym polu można określić, które specjalne możliwości są dostępne dla użytkowników, tj. operatorów działań powiązanych z procesem, za pośrednictwem procesów utworzonych na podstawie tej definicji procesu. Możliwe możliwości to:
- Bez – o tym, czy użytkownik może wyświetlić proces, decydują jego uprawnienia
- Domyślny – edytorzy zarejestrowanych działań, które są preferencyjnie powiązane z procesem, mogą wyświetlać proces i wprowadzać komentarze. Jeśli zarejestrowane działanie jest preferencyjnie powiązane z działaniem przypisanym do procesu, agenci mogą wyświetlać działanie i proces, ale nie działania przypisane do procesu. Przy ustawieniu tej wartości użytkownicy, którzy nie są zaangażowani w proces, mogą być konsultowani poprzez wprowadzenie działania bez konieczności aktywnego udziału w edycji.
Sekcja Powiadomienie e-mail
W tej sekcji można określić, czy wiadomości e-mail z powiadomieniami mają być wysyłane w przypadku wystąpienia błędów lub przekroczenia limitu czasu w procesie. Sekcja składa się z następujących pól:
- Powiadom osobę odpowiedzialną o błędach – po aktywowaniu tej funkcji właściciele procesów otrzymają kopię powiadomienia e-mail dla administratorów workflow, gdy proces zostanie zakończony za pośrednictwem węzła błędu
- Do administratora workflow z powodu błędów – po wywołaniu tej funkcji administrator workflow otrzyma powiadomienie e-mail o zakończeniu procesu za pośrednictwem węzła błędów.
- Powiadom osoby odpowiedzialne za proces – po aktywowaniu tej funkcji właściciele procesów otrzymają powiadomienie e-mail, gdy proces zmieni swój status na Zaległe
Zakładka Zmienne procesu
Na zakładce Zmienne procesu można zadeklarować zmienne procesu dla procesów generowanych z definicji procesu. Zmiennych procesowych można używać w definicjach działań węzłów akcji i zdarzeń, a tym samym zapisywać stan procesu na całej planszy. W definicji działania można uzyskać dostęp do zmiennych procesu z prefiksem process. w definicji działania. Zawartość zmiennych procesu jest automatycznie określana i zapisywana w procesie po wywołaniu funkcji create() i close() deklaracji.
Podczas tworzenia działania zmienna procesu name zadeklarowana jako String powinna zostać zainicjowana ciągiem znaków <unknown>:
function create() {
process.name := „<unknown>”;
}
Kolumny tabeli ze szczegółowymi zmiennymi procesu:
- Nazwa – ten element sterujący zawiera metadane i nie wolno go usuwać. W kolumnie Nazwa należy wprowadzić nazwę techniczną, aby zidentyfikować zmienną procesu. Ta nazwa techniczna jest używana w deklaracjach definicji działań.
- Typ danych – w tej kolumnie należy wprowadzić typ danych w języku skryptowym ustawionym na zakładce Deklaracje, taki jak String, Number lub Boolean. Można używać wszystkich typów danych języka skryptowego systemu opisanych w artykule Język skryptowy systemu.
- Widoczność – w tej kolumnie definiowana jest widoczność zmiennej procesu w aplikacji Procesy. Możliwe wartości to:
- Niewidoczny – zmienna procesu nie jest wyświetlana w aplikacji Procesy
- Widoczne – zawartość zmiennych procesu jest wyświetlana w polu z nazwą przypisaną w kolumnie Nazwa w aplikacji Procesy
- Oznaczenie – ten element sterujący zawiera metadane i nie wolno go usuwać. W tym polu należy wprowadzić opis zmiennej procesowej zdefiniowanej w kolumnie Nazwa. Nazwa może być edytowana tylko dla zmiennych procesowych z widocznością Widoczne.
Akcje wprowadzania i usuwania zmiennych procesowych
Zmienne procesowe można wprowadzać i usuwać, wykonując następujące akcje:
- [Nowa zmienna procesu] – przycisku należy użyć, aby dodać nowy wiersz do tabeli w celu wprowadzenia nowej zmiennej procesu
- [Wstaw/Usuń znacznik usuwania] – ten element kontrolny zawiera metadane i nie może zostać usunięty. Akcji należy użyć, aby ustawić wskaźnik usunięcia dla wcześniej wybranego wiersza w tabeli. Wskaźnik usunięcia jest ponownie usuwany po ponownym naciśnięciu przycisku. Wiersz oznaczony w ten sposób jest usuwany z tabeli dopiero po jego zapisaniu.
Zakładka Deklaracje
Na zakładce Deklaracje deklarowane są stałe, zmienne i funkcje, które mają zastosowanie do wszystkich definicji działań należących do definicji procesu.
Pola w szczegółach:
- Język skryptów – to pole służy do określenia języka skryptowego dla deklaracji. Język skryptowy jest również używany jako wartość domyślna w powiązanych definicjach działania. Wartość domyślną dla języka skryptu definicji procesu definiuje się w funkcji konfiguracji Workflow Management. Możliwe języki skryptowe to:
- Język skryptów systemu
- JavaScript
- Deklaracje – w tym edytorze można zadeklarować stałe, zmienne i funkcje, które mają zastosowanie do wszystkich definicji działań należących do definicji procesu. Warunkiem wstępnym użycia jest to, że definicja działania używa tego samego języka skryptowego co definicja procesu.
Zakładka Ustawienia szablonu
Ustawienia szablonu są wyświetlane na zakładce Ustawienia szablonu, jeśli typ definicji procesu to Szablon lub została ona utworzona z szablonu. Sposób wyświetlania jest różny dla definicji procesów i szablonów definicji procesów.
Zakładka składa się z następujących pól:
- Wzór – jeśli definicja procesu została utworzona na podstawie szablonu definicji procesu, nazwa szablonu jest wyświetlana w tym polu.
- Aktywowano polecenie „Aktualizuj automatycznie” – jeśli definicja procesu została utworzona na podstawie szablonu, jest ona automatycznie aktualizowana po zaimportowaniu nowej wersji szablonu definicji procesu, jeśli ta funkcja jest aktywna. W przypadku definicji procesu jest to informacja o zdefiniowanym ustawieniu.
Ustawienia szablonu dla szablonu definicji procesu
Pola w szczegółach:
- Zadanie deweloperskie – ten element kontrolny zawiera metadane i nie może zostać usunięty. Zadanie deweloperskie jest identyfikowane przez numer, który jest unikalny w systemie. Numer jest ograniczony do pięciu cyfr. Pierwsze cyfry są wypełnione zerami. Gdy tworzone jest nowe zadanie, numer zadania jest automatycznie określany przez system. Najwyższy numer zadania przypisany w systemie jest zwiększany o jeden. Numer ten nie może zostać zmieniony. Dopóki zlecenie nie zostanie zapisane po raz pierwszy, system przypisuje ten numer zlecenia także do kolejnych nowo utworzonych zleceń. Podczas zapisywania system sprawdza, czy numer zlecenia został już przydzielony. Jeśli tak jest, nowy numer zlecenia jest automatycznie określany i zapisywany.
Kolumny tabeli Definicje procesów w szczegółach:
- Definicja procesu – w tej kolumnie wyświetlana jest identyfikacja definicji procesu, która została utworzona na podstawie szablonu
- Aktywowano polecenie „Aktualizuj automatycznie” – jeśli definicja procesu została utworzona na podstawie szablonu, jest ona automatycznie aktualizowana po zaimportowaniu nowej wersji szablonu definicji procesu, jeśli ta funkcja jest aktywna. W przypadku definicji procesu jest to informacja o zdefiniowanym ustawieniu.
Działania związane z aplikacją
W aplikacji Definicje procesu dostępne są następujące działania związane z aplikacją:
- Przyjęcie definicji procesu
- Aktywuj lub dezaktywuj definicję procesu w zależności od bazy danych
Ponadto dostępne są następujące akcje do zarządzania szablonami, które są rejestrowane jako obiekty deweloperskie i dla jednostek biznesowych, które zostały przeniesione z szablonu:
- Utwórz i aktualizuj wg szablonu
- Zapisz jako szablon
Akcja [Przyjęcie definicji procesu]
Prefiks eksportu wskazuje system, w którym definicja procesu została utworzona. Jeśli prefiks eksportu definicji procesu i prefiks eksportu bieżącego systemu są różne, należy użyć tej akcji, aby zaakceptować definicję procesu przed jej aktywacją i użyciem. Podczas transferu tworzona jest kopia definicji procesu, która otrzymuje prefiks eksportu bieżącego systemu.
Aby przyjąć definicję procesu należy:
- Otworzyć aplikację Definicje procesu.
- Otworzyć wymaganą definicję procesu.
- Wybrać akcję [Przyjęcie definicji procesu] za pomocą odpowiedniego przycisku na standardowym pasku narzędzi. System powiela definicję procesu. Przesyłane są wszystkie dane z wyjątkiem prefiksu eksportu. Wprowadzany jest prefiks eksportu bieżącego systemu.
- W razie potrzeby dostosować definicję procesu i zmienić lub dodać inne dane.
Akcja [Aktywuj lub dezaktywuj definicję procesu zależnie od bazy danych]
Tej akcji należy użyć, aby aktywować lub dezaktywować definicję procesu. Definicja działania powiązana z węzłem zdarzenia startowego i wszystkie definicje działania, które zarejestrowały zdarzenie, są aktywowane lub dezaktywowane w bieżącej bazie danych.
Procesy mogą być tworzone tylko z aktywowanych definicji procesów. Aktywacja jest specyficzna dla bazy danych. Definicja procesu typu bazy danych Dane OLTP musi być aktywowana w każdej bazie danych OLTP, w której jest używana. Definicja procesu jest aktywowana poprzez definicję działania powiązaną z węzłem startowym.
Aby aktywować lub dezaktywować definicję procesu należy:
- Otworzyć aplikację Definicje procesu.
- Otworzyć wybraną definicję procesu.
- Wybrać akcję [Aktywuj lub dezaktywuj definicję procesu zależnie od bazy danych] za pomocą odpowiedniego przycisku na standardowym pasku narzędzi. W wyniku tego działania system aktywuje definicję procesu. Definicja działania powiązana z węzłem zdarzenia startowego i wszystkie definicje działania, które zarejestrowały zdarzenie, są aktywowane w bieżącej bazie danych.
Jeśli aktywowano lub dezaktywowano definicję procesu w aplikacji Aktywacja definicji działań należy wykonać następujące czynności:
- Otworzyć menu kontekstowe w polu Definicja procesu w nagłówku aplikacji.
- Wybrać akcję Aktywuj definicję działania z menu kontekstowego. Zostanie otwarta aplikacja Aktywacja definicji działań i definicja działania należąca do węzła zdarzenia startowego.
- Wybrać ustawienie Aktywny w polu Status.
- W razie potrzeby wprowadzić klasyfikacje działania dla otwartej definicji działania.
- Zapisać aktywację definicji działania. Definicja działania jest aktywowana w bieżącej bazie danych. Jeśli definicja działania należy do węzła początkowego definicji procesu, definicja procesu i wszystkie definicje działań należące do definicji procesu, które zarejestrowały zdarzenie, są również aktywowane.
- Jeśli użytkownik chce przypisać klasyfikacje działań dla innych definicji działań należących do definicji procesu, należy otworzyć wyszukiwanie w nawigatorze i użyć kryterium wyszukiwania Definicja procesu, aby uwzględnić wyszukiwanie definicji działań, które są powiązane z definicją procesu. Następnie otworzyć definicje działań, dla których mają zostać wprowadzone klasyfikacje działań i powtórzyć kroki 4 i 5 dla każdej definicji działania.
Akcja [Utwórz i aktualizuj wg szablonu]
Akcja [Utwórz i aktualizuj wg szablonu] może być użyta do utworzenia nowej definicji procesu z szablonu definicji procesu. Powoduje to utworzenie nowej definicji procesu zapisanej jako jednostka biznesowa z obiektu deweloperskiego typu Szablon definicji procesu.
Akcja [Zapisz jako szablon]
Akcja [Zapisz jako szablon] może być użyta do utworzenia nowego szablonu definicji procesu z definicji procesu. Powoduje to utworzenie nowego obiektu deweloperskiego typu Szablon definicji procesu z definicji procesu zapisanej jako jednostka biznesowa.
Konfiguracja
Następujące ustawienia w głównej funkcji Workflow Management aplikacji Konfiguracja są istotne dla aplikacji Definicje procesów:
- Język skryptów – to pole służy do określania domyślnej wartości języka skryptowego używanego w aplikacjach Definicje procesów i Definicje działań. Możliwe języki skryptowe to:
- Język skryptów systemu
- JavaScript
- Czas opracowania – to pole służy do ustawiania domyślnej wartości czasu przetwarzania procesów w aplikacji Definicje procesów. Jeśli czas przetwarzania zostanie przekroczony, status procesu zmieni się na Zaległe.
- Okres przechowywania – okres przechowywania określa okres, w którym proces nie może zostać zreorganizowany po jego zakończeniu. Można użyć okresu przechowywania, aby zapobiec reorganizacji procesów podlegających prawnemu obowiązkowi przechowywania przed upływem okresu przechowywania.
Jednostki biznesowe
Następująca jednostka biznesowa jest istotna dla aplikacji Definicje procesów, która jest wykorzystywana przykładowo do:
- Nadawania uprawnień
- Konfigurowania definicji działań
Definicja procesu:
com.cisag.sys.workflow.obj.ProcessDefinition
Jednostka biznesowa należy do następującej grupy jednostek biznesowych:
Obiekty workflow w repozytorium:
com.cisag.sys.workflow.RepositoryWorkflowObjects
Uprawnienia
Uprawnienia można przypisywać zarówno za pomocą ról uprawnień, jak i poprzez przypisanie organizacji. O koncepcji uprawnień można przeczytać w dokumentacji technicznej Uprawnienia.
Specjalne możliwości
Aplikacja Definicje procesów nie posiada specjalnych możliwości.
Przypisania organizacji
Aplikacja Definicje procesów nie wymaga przypisań organizacyjnych.
Funkcje specjalne
Aplikacja Definicje procesów nie posiada specjalnych funkcji.
Uprawnienia dla partnerów biznesowych
Aplikacja Definicje procesów nie jest udostępniana partnerom biznesowym.



